22  Exponential discounting examples

Summary

  • Exponential discounters make decisions by comparing the discounted utility of different options, choosing the one with the highest value.
  • The discount factor \delta determines how much future payoffs are discounted, with a higher \delta resulting in less discounting of future outcomes.
  • Visualisations, such as graphs showing discounted utility over time, can help illustrate how exponential discounters evaluate and compare different options.
  • The following examples illustrate that:
    • Time consistency is demonstrated through consistent choices across different time frames.
    • The amount needed to compensate for a delay increases exponentially with time.
    • Different discount factors can lead to different choices between the same options.


22.1 Introduction

In this part, I will work through several numerical examples of decisions by an exponential discounter.

22.2 Example 1: $100 today or $110 next week

Alison is an exponential discounter with discount factor \delta=0.95 and utility each period of u(x_n)=x_n. She is offered two choices.

Choice 1: Would she prefer $100 today (t=0) or $110 next week (t=1)?

To determine this, we calculate the discounted utility of each option. Alison will prefer the option with the highest discounted utility.

We write the discounted utility of the $100 today as U_0(0,\$100). The subscript 0 indicates that the utility is calculated at time t=0. The first number in the brackets indicates the time the payment is received. In this case, the $100 is received at t=0, today. The second number in the brackets is the value of the payment.

The discounted utility of the $100 today, U_0(0,\$100), is:

\begin{align*} U_0(0,\$100)&=u(\$100) \\[6pt] &=100 \end{align*}

There is no discount \delta applied to the $100 as it is received immediately.

We write the discounted utility of the $110 next week as U_0(1,\$110). The subscript 0 again indicates that the utility is calculated at time t=0. The first number in the brackets, 1, indicates the time the payment is received, t=1. The second number in the brackets is the value of the payment.

The discounted utility of the $110 next week is:

\begin{align*} U_0(1,\$110)&=\delta u(\$110) \\[6pt] &=0.95\times 110 \\[6pt] &=104.5 \end{align*}

In this case, a discount of \delta=0.95 is applied to the $110 as it is received in one week.

We can now compare the discounted utility of each option. U_0(0,\$100)=100<104.5=U_0(1,\$110). Alison would prefer to receive $110 next week as it leads to higher discounted utility.

Figure 22.1 visualises the effect of discounting in Choice 1.

The two bars represent the options: $100 at t=0 and $110 at t=1. The line from the $110 option represents the discounted utility of that option at each time. At t=0 the discounted utility of the $110 received at t=1 is 104.5. At t=0 we can see that the $110 is preferred as the line indicating discounted utility is higher than the utility of the $100 received immediately.

Code
# Create a function to create the discounted bar chart
library(ggplot2)

# Helper function to create discounted values
create_discount_data <- function(value, time, discount_rate, start) {
  times <- seq(start, time, by = 1)
  data.frame(
    t = times,
    group = as.character(time),
    value = value * discount_rate^(time - times)
  )
}

# Main function to create the discounted bar chart
create_discounted_bar_chart <- function(smaller, t_s, larger, t_l, discount_rate, starting_at = 0, y_spacing = 20, x_spacing = 1) {
  # Create the data
  data <- data.frame(
    t = c(t_s, t_l),
    U_t = c(smaller, larger)
  )
  
  # Create the discounted values, starting from 'starting_at'
  discounted_data <- rbind(
    create_discount_data(smaller, t_s, discount_rate, starting_at),
    create_discount_data(larger, t_l, discount_rate, starting_at)
  )
  
  # Shift t values based on starting_at
  data$t_plot <- data$t - starting_at
  discounted_data$t_plot <- discounted_data$t - starting_at
  
  # Filter out any data points before the starting point
  data <- data[data$t >= starting_at, ]
  discounted_data <- discounted_data[discounted_data$t >= starting_at, ]
  
  # Determine x-axis and y-axis limits
  x_min <- 0
  x_max <- max(max(data$t_plot), max(discounted_data$t_plot))
  y_max <- max(max(data$U_t), max(discounted_data$value)) * 1.1  # 10% buffer
  
  # Create the plot
  ggplot() +
    # Add the bars
    geom_rect(data = data, aes(xmin = ifelse(t_plot == 0, 0, t_plot - 0.15),
                               xmax = ifelse(t_plot == 0, 0.15, t_plot + 0.15),
                               ymin = 0, ymax = U_t),
              fill = "white", color = "black") +
    
    # Add the discount lines
    geom_line(data = discounted_data, aes(x = t_plot, y = value, group = group), 
              color = "black", linewidth = 1) +
    
    # Customize the plot
    scale_x_continuous(breaks = seq(x_min, x_max + 1, by = x_spacing), 
                       limits = c(x_min, x_max + 1),
                       expand = c(0, 0),
                       labels = function(x) x + starting_at) +
    scale_y_continuous(breaks = seq(0, y_max, by = y_spacing), 
                       limits = c(0, y_max),
                       expand = c(0, 0)) +
    geom_vline(xintercept = 0, linewidth = 0.25) + 
    geom_hline(yintercept = 0, linewidth = 0.25) +
    labs(x = "t",
         y = expression(U[t])) +
    theme_minimal() +
    theme(
      axis.title.y = element_text(angle = 0, vjust = 0.5),
      panel.grid.major = element_blank(),
      panel.grid.minor = element_blank()
    )
}
Code
create_discounted_bar_chart(100, 0, 110, 1, 0.95)
Figure 22.1: Alison’s consideration of Choice 1

Choice 2: Would Alison prefer $100 next week (t=1) or $110 in two weeks (t=2)?

Again, we calculate the discounted utility of each option. Alison will prefer the option with the highest discounted utility.

The discounted utility of the $100 next week is:

\begin{align*} U_0(1,\$100)&=\delta u(\$100) \\[6pt] &=0.95\times 100 \\[6pt] &=95 \end{align*}

The discounted utility of the $110 in two weeks is:

\begin{align*} U_0(2,\$110)&=\delta^2 u(\$110) \\[6pt] &=0.95^2\times 110 \\[6pt] &=99.275 \end{align*}

We can now compare the discounted utility of each option. U_0(1,\$100)=95<99.275=U_0(2,\$110). Alison would prefer to receive $110 in two weeks.

The set of decisions across Choice 1 and Choice 2 are time consistent. If Alison selected $110 in two weeks for Choice 2 and was given a chance to change her choice after one week (which is effectively Choice 1), she would not change her decision.

Figure 22.2 visualises the effect of discounting in Choice 2.

The two bars represent the options: $100 at t=1 and $110 at t=2. The line from each represents the discounted utility of that option at each time.

Code
create_discounted_bar_chart(100, 1, 110, 2, 0.95)
Figure 22.2: Alison’s consideration of Choice 2

For example, at t=1 the discounted utility of the $100 received at t=1 is 100 and the discounted utility of the $110 received at t=2 is 104.50. We can read those values from the line. For any time t we can determine which option would be preferred by seeing which line is higher.

Code
# First, create the plot using the existing function
p <- create_discounted_bar_chart(100, 1, 110, 2, 0.95)

# Calculate the y-intercept for the dashed line
y_intercept <- 110 * 0.95  # 104.5

# Add the dashed line and the label to the existing plot
p_with_line_and_label <- p + 
  geom_segment(aes(x = 0, y = y_intercept, xend = 1, yend = y_intercept),
               linetype = "dashed", color = "black") +
  geom_text(aes(x = 0.2, y = y_intercept, label = sprintf("%.1f", y_intercept)),
            hjust = 1, vjust = -0.2, size = 3)

# Display the modified plot
print(p_with_line_and_label)
Figure 22.3: Alison’s consideration of Choice 2 - discounted utilities

You will note that the two lines do not cross. For an exponential discounter, if one line is higher at any particular time t, it is higher at all times.

Figure 22.4 visualises Choice 2 reconsidered at t=1, which as noted earlier, is effectively Choice 1. The discounted utility of the $100 received immediately is less than the discounted utility of $110 in one week. The preference for the higher-value option remains.

Code
create_discounted_bar_chart(100, 1, 110, 2, 0.95, starting_at = 1)
Figure 22.4: Alison’s reconsideration of Choice 2

22.3 Example 2: How much for a one-year delay?

Brenda is an exponential discounter with discount factor \delta=0.95 per week and utility each period of u(x_n)=x_n

She is offered $100 today. What sum would she need to be offered in one year (52 weeks) to prefer that later payment to the $100 today?

To determine this, we calculate what sum received in one year would give Brenda the same discounted utility as receiving $100 today.

The discounted utility of the $100 today is:

\begin{align*} U_0(0,\$100)&=u(\$100) \\[6pt] &=100 \end{align*}

The discounted utility of the sum y received in 52 weeks is:

\begin{align*} U_0(52,\$y)&=\delta^{52} u(\$y) \\[6pt] &=0.95^{52}\times y \end{align*}

As there is a 52-period delay, the discount factor \delta is applied 52 times.

She will prefer $y in 52 weeks if U(52,\$y) is greater than 100.

\begin{align*} U_0(52,\$y)&>100 \\[6pt] 0.95^{52}\times y&>100 \\[6pt] y&>\frac{100}{0.95^{52}} \\[6pt] y&>\$1440.03 \end{align*}

Brenda would be willing to wait a year for payment if she was paid more than $1440.03.

Figure 22.5 visualises this problem. The bar at t=52 represents the $1440.03 Brenda would need to be paid (at minimum) to prefer that payment to $100 today. The line extended from that bar back to t=0 indicates the discounted utility of that payment at any time t. At t=0 the discounted utility of the $1440.03 is equal to the utility of $100.

Code
create_discounted_bar_chart(0, 0, 1440.03, 52, 0.95, y_spacing = 100, x_spacing = 4)
Figure 22.5: Brenda’s choice

22.4 Example 3: $10 in five days or $20 in 10 days?

Chelsea is an exponential discounter with discount factor \delta=0.75 and utility each period of u(x_n)=x_n.

Would Chelsea prefer $10 in five days (t=5) or $20 in 10 days (t=10)?

We calculate the discounted utility of each option. Chelsea will prefer the option with the highest discounted utility.

The discounted utility of the $10 in five days is:

\begin{align*} U_0(5,\$10)&=\delta^5u(\$10) \\[6pt] &=0.75^5\times 10 \\[6pt] &=2.37 \end{align*}

The discount factor \delta is applied five times as the payment is received in five days.

The discounted utility of the $20 in 10 days is:

\begin{align*} U_0(10,\$20)&=\delta^{10} u(\$20) \\[6pt] &=0.75^{10}\times 20 \\[6pt] &=1.13 \end{align*}

The discount factor \delta is applied 10 times as the payment is received in 10 days.

We can now compare the discounted utility of each option. U_0(5,\$10)=2.37>1.13=U_0(10,\$20). The discounted utility is higher for the $10 in five days. As a result, Chelsea will prefer to receive $10 in five days.

Dorothy is an exponential discounter with discount factor \delta=0.95 and utility each period of u(x_n)=x_n. Dorothy has a larger discount factor than Chelsea, meaning that she applies a smaller discount to future outcomes.

Would Dorothy prefer $10 in five days (t=5) or $20 in 10 days (t=10)?

The discounted utility of the $10 in five days is:

\begin{align*} U_0(5,\$10)&=\delta^5u(\$10) \\[6pt] &=0.95^5\times 10 \\[6pt] &=7.74 \end{align*}

The discounted utility of the $20 in 10 days is:

\begin{align*} U_0(10,\$20)&=\delta^{10} u(\$20) \\[6pt] &=0.95^{10}\times 20 \\[6pt] &=11.97 \end{align*}

The discounted utility is higher for the $20 in 10 days. Dorothy will prefer to receive $20 in 10 days.

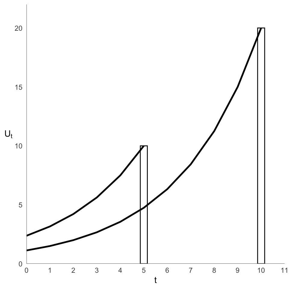
Figure 22.6 visualises the choices and Chelsea and Dorothy’s discounting of the payoffs.

In both charts, vertical bars represent the $10 in five days and $20 in 10 days. The lines projecting back to t=0 represent the discounted utility of those payoffs at each time.

When \delta=0.75, the heavy discount to the more distant payoff means that it has a lower discounted utility than the smaller, sooner payment of $10. When \delta=0.95, the discount is less severe and the $20 in 10 days has a higher discounted utility than the $10 in five days.

Code
create_discounted_bar_chart(10, 5, 20, 10, 0.75, y_spacing = 5)
create_discounted_bar_chart(10, 5, 20, 10, 0.95, y_spacing = 5)
Figure 22.6: Exponential discounting
(a) Chelsea’s choice (\delta=0.75)
(b) Dorothy’s choice (\delta=0.95)